
Does the relativity of motion represent the most defining feature of our Universe? Or is it only a facet, a partial interpretation of a reality that hides different rules and a totally new fundamental mechanism?
Wherever we would gaze into the vastness of space, a lot of cosmic bodies (stars, galaxies, planets) can be seen moving continuously, each one relative to all the others. We cannot pinpoint one of these bodies and say that we found a truly fixed point in space; therefore, it is easy to state that the relativity of motion must be a given of our universe. Consequently, the Theory of Relativity (special) should be able to decipher all the mysteries of motion and to formalize all the laws of physics related to this subject.
However, based on the current model of our universe's birth, the Theory of the Absolute [2] has identified an absolute "point" within this vast expanse of space and tries to harmonize the two interpretations of the cosmic symphony. It starts from the same simple premise, namely the speed of light is a universal constant. As it was previously stated in my Prime Theory series, the intergalactic space (the regions of space that are far away from any cosmic object) provides an ideal, uniform framework in which the movement of a body or a simpler granular structure can have any absolute speed - up to the maximum value c. This limitation also applies to fields and photons of any kind, being determined by the intrinsic characteristics of the spatial granular fluid.
But things are more complex than that, check out Chapter 11 of [3] - "A unique reality". The presence of a body with significant mass (planet, moon, star) produces an important perturbation (sub-quantum fluctuations) to all the gravitational fluxes in the neighborhood and changes the characteristics of space within a large radius around. Practically, this creates a new granularization (on a larger scale) of the spatial fluid from the big sphere circumscribed to the cosmic object, imprinting this whole region with a special feature of local absolute. If a certain cosmic area is populated by several cosmic bodies, there will be the same number of regions (separate or overlapping) with absolute features and each region will follow the trajectory of its source and will inherit its rotational movements.
Once we come very close to a cosmic object and a certain limit is passed, the absolute feature of its surrounding space becomes dominant and will determine all the movements inside this region. The photons, for example, will move at the speed limit c relative to this absolute framework. Consequently, a laboratory placed on the Earth's surface is lying inside its region of absolute space (for now, we will ignore the direct effects of gravitation and planetary rotation). It will rotate in sync with the planet - therefore, with the local absolute - and, for any experience made with light, it may be considered a perfect Absolute Frame of Reference (AFR). This also represents the minimal frame in which we can study the relative motion, considering that one or several Inertial Frames of Reference (IFR) are moving uniformly in regard to it.
In all my previous articles it was clearly assumed that photons are the only granular structures that can constitute a global indicator of the absolute in our universe and which can help us reveal the relative movement of any cosmic body against this spatial "background". Now, once we have theoretically identified the regions of absolute space around any object with significant mass, photons will be included in some experiments designed to confirm my new idea and to make a few necessary additions to the initial version of the "Theory of the Absolute".
1.2. The General Postulates of TA
First of all, we must say that the major theoretical support is provided by the Fundamental Laws of the Universe (TP) and by their consequences. All the features of the spatial granular fluid are currently known, also the way in which it facilitates the movement of any granular structure, simple or complex.
The Theory of Relativity (TR), as it was shown in The Universe [2], is contradictory in several respects and does not provide a complete framework for our analysis on motion, neither at quantum nor macroscopic levels. As the relative motion is present all over the universe, TR should provide a complete descriptive mechanism of the moving frames in the absence of an absolute point. The whole foundation of TR consists of two simple postulates whose apparent correctness is, however, based on numerous experimental results (invariance and equivalence):
- The speed of light is a universal physical constant, a maximum speed of propagation of interactions; it is invariant with respect to any IFR (the direction of its motion does not matter).
- The laws of physics are identical in different inertial frames, all the IFRs are equivalent (Lorentz symmetry).
At the first sight, these two postulates seem to be perfectly logical, also intuitive, depicting coherently and completely an "elegant" and uniform universe; in this type of universe, all the movements have an upper limit of speed and the uniform motion does not change the laws of physics. Moreover, the Lorentz transformations can connect the space-time coordinates from various IFRs and the famous formulae of TR will come up immediately; they show the dependence of some fundamental physical quantities, like time and space, on the relative speed. However, the PT's perspective on these things differs significantly; the movement of a material structure through space automatically produces some changes at the quantum level, and these state changes are depending only on its absolute speed. Therefore, the two postulates above must be rephrased to correctly reflect the new paradigm, to add them realism. Thus, we may start from the original TA premises:
- The speed of light is invariant in relation to any absolute frame of reference (local or universal) and, at the same time, it represents an upper limit for the speed of any granular structures;
- The laws of physics are identical in all frames of reference, but their parameters depend on the value and direction of the IFR's absolute velocity (relative to its parent* AFR).
A series of observations and classifications can be made at this time:
- The speed of light in a vacuum, as a maximum value, is characteristic to the local absolute (it only depends on the local granular density). There are different maxima in different absolute regions; however, at the scale of our universe, all of these values are lower than the well-known speed threshold C (C > 1.4 c, as it was previously shown in TP).
- The trajectory of all photons follows the local absolute, they are copying its global movement (and its eventual curvature, but this aspect will not be considered here).
- The speed of light (observed from the AFR) gets now an apparent character; its value is no longer the same in the child IFRs, as it now depends on the absolute velocity's magnitude and direction. Therefore, we must evaluate the directionality of physics in a certain IFR, the potential asymmetry that might exist in its direction of travel.
- Various child IFRs of a certain AFR are equivalent if they have identical absolute velocities (direction and value); we may apply the Lorentz transformations to these frames, and their rates of time are all identical. The child IFRs can be called twins if only their absolute speeds are identical.
- As time is in fact a reflection and a consequence of the quantum level movements, its rate in an IFR must be lower than the background value of the parent AFR. But all the uniform movements we see in mobile frames are having a directional character; therefore, their rate of time might also depend on direction.
* The attribute parent for an AFR means it has one or more attached child IFRs.
1.3. Famous experiments and their new interpretations
The outcome of some trials may confirm a theory or a specific formula, may reject it, or may be inconclusive. Let's take a look at a few famous experiments and at their conclusions, then check if some different explanations can be found for those results in the new context given by the model of absolute space (which is somehow similar to the concept of aether from the 1900s).
1.3.1. Michelson-Morley experiment
Essentially, the MM experiment has tried to confirm the existence of some kind of ether, in fact an ether wind that would change its direction as the Earth is moving through space. They used a simple device named interferometer; it contains a light source L, two mirrors M1 and M2, a beam- splitting mirror M3, and a screen S on which the interference pattern can be seen (as shown in Figure 1). Mirror M1 is precisely adjusted to set the same distance D between the normal mirrors and beam splitter. The half-silvered mirror splits the light beam into two perpendicular beams which are reflected back by the two mirrors and finally interfere on the screen.
The interference pattern displayed on screen S will depend on the path difference between the two beams, and this difference can be easily calculated. If we assume that the ether moves from left to right with the speed u, the total time it takes light to cover the horizontal and vertical distances would be:


Figure 1 - The Michelson-Morley interferometer
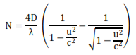
The interference pattern shows a fringe shift equal to one fringe when the time difference is equal to the period of the wave, i.e. an interval T = λ / c. Moreover, the difference between these time intervals will double if the apparatus is rotated by 90 degrees. Therefore, the total fringe shift N of the interference pattern will be:

This concrete result, the number of fringes, was virtually zero; no fringe shift was noticed during one or more days. Therefore, this implies that a normal addition of velocities (Galilean transformations) is not applicable in this case. Moreover, the general conclusion of the experiment was: the ether is undetectable and the speed of light is independent of the inertial frame of reference. Consequently, Einstein abandoned the concept of ether and, implicitly, the notion of absolute universal time [4][5].
But let's take one more look at the MM experiment, as the logical conclusion we can draw from its results seems to be more nuanced. Namely, if the ether really exists, it does not flow relative to the device - it moves at the same speed as the device moves (dragging effect). Ignoring the low accuracy of the instrument, the phase shift of reflected light, and other experimental errors, a fringe shift N = 0.44 was expected for equal-length arms of D = 11m and a wavelength of λ = 500 nm. The idea of an ether that is "fixed" in the reference frame of the laboratory (of the Earth) now makes perfect sense. A beam of light would then have an absolute path and a constant speed, independent of direction. However, we cannot conclude yet that the speed of light does not depend on the speed of the source. Other experiments and other devices, as the one imagined in Chapter 3.3 of "The Universe" [2] (which would detect any deviation in the trajectory of light), or a simpler version of the MM interferometer (as the mobile one shown in Figure 2, oriented along its velocity vector) would be able to detect the movement in regard to the "fixed" frame of the Earth.

Figure 2 - The mobile interferometer
Simplified calculations, for a 3m arm length and red light (λ = 600Nm), would give us the results from Table 1 (similar to those of a fixed, normal MM interferometer).
Significant variations in the fringe shift practically occur after 30km/s and the fringes become countable after 100km/s. If such a mobile device would revolve on a high orbit around the planet, having a tangential speed in this range, it might permanently elucidate the mystery of the ether - or of a local absolute, as in the TA perspective.
Note 1. We have presumed that the movement of the ether relative to our laboratory and the movement of an apparatus through a fixed ether are equivalent things, both theoretically and practically. Therefore, the null result given by the fixed interferometer and a positive result from the mobile one do not exclude each other, even more, this would represent the proof for the existence of the local absolute.
Note 2. It is hard to discriminate between a source-related speed of photons and an absolute one, given by the local absolute - as long as the results of the experiments are identical or inconclusive in this respect. It seems that any experiment you would perform using something "fixed" and something "mobile", a possible point of absolute and its absolute reference frame cannot be revealed (due to the intrinsic relativism). Anyway, when speeds are very low in comparison with c. A variable light speed means a variable propagation speed of all fields, implying that the entire "mechanics" of interactions in an IFR must have a "relative" character. In this case, we may not
detect easily in which frame (at source or receptor) the speed changes in fact, or where the Doppler effect of visible light is actually produced, for example.
|
v |
N |
|
1 m/s |
10-10 |
|
10 m/s |
10-8 |
|
100 m/s |
10-6 |
|
1000 m/s |
10-4 |
|
10 km/s |
0.01 |
|
20 km/s |
0.04 |
|
30 km/s |
0.1 |
|
50 km/s |
0.3 |
|
70 km/s |
0.5 |
|
100 km/s |
1.1 |
|
1000 km/s |
110 |
Table 1
Stellar aberration is an astronomical phenomenon that produces an apparent change in direction to the light coming from the stars; this is due to the relative movement of the observer about the source of light and due to the finite speed of light. Aberration causes sources of light to appear to be displaced towards the direction of motion (see Figure 3). Thus, if S is a star and E is the Earth which revolves with the speed v around the Sun, the direction of the stellar light should form the angle
Describe what you're looking for in as much detail as you'd like.
Our AI reads your request and finds the best matching books for you.
Popular searches:
Join 2.9 million readers and get unlimited free ebooks