
− + 3 t
19. x = 3
20. x = 2
−
21. r ( x) = 4
22. q( x) = 3




Section 2.2 Graphs of Linear Functions 123
23. If g( x) is the transformation of f ( x) = x after a vertical compression by 3 / 4 , a shift left by 2, and a shift down by 4
a. Write an equation for g ( x)
b. What is the slope of this line?
c. Find the vertical intercept of this line.
24. If g( x) is the transformation of f ( x) = x after a vertical compression by 1/ 3 , a shift right by 1, and a shift up by 3
a. Write an equation for g ( x)
b. What is the slope of this line?
c. Find the vertical intercept of this line.
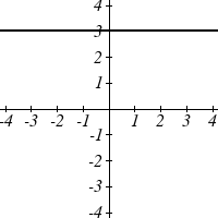
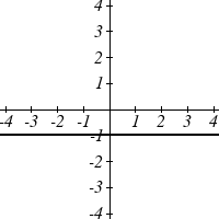
Write the equation of the line shown
25.
26.
27.
28.
Find the horizontal and vertical intercepts of each equation
29. f ( x) = − x + 2
30. g ( x) = 2 x + 4
31. h( x) = 3 x − 5
32. k ( x) = 5
− x +1
33. 2
− x + 5 y = 20
34. 7 x + 2 y = 56
124 Chapter 2
Given below are descriptions of two lines. Find the slopes of Line 1 and Line 2. Is each
pair of lines parallel, perpendicular or neither?
35. Line 1: Passes through (0,6) and (3, 24)
−
Line 2: Passes through ( 1
− ,19) and (8, 7
− 1)
36. Line 1: Passes through ( 8
− , 55
− ) and (10, 89)
Line 2: Passes through (9, 44)
−
and (4, 14)
−
37. Line 1: Passes through (2,3) and (4, 1)
−
Line 2: Passes through (6,3) and (8,5)
38. Line 1: Passes through (1, 7) and (5,5)
Line 2: Passes through ( 1,
−
3
− ) and (1,1)
39. Line 1: Passes through (0, 5) and (3,3)
Line 2: Passes through (1, 5
− ) and (3, 2
− )
40. Line 1: Passes through (2,5) and (5, 1)
−
Line 2: Passes through ( 3,
− 7) and (3, 5
− )
41. Write an equation for a line parallel to f ( x) = 5
− x − 3 and passing through the point
(2,-12)
42. Write an equation for a line parallel to g( x) = 3 x −1 and passing through the point (4,9)
43. Write an equation for a line perpendicular to h( t) = 2
− t + 4 and passing through the
point (-4,-1)
44. Write an equation for a line perpendicular to p( t) = 3 t + 4 and passing through the point (3,1)
45. Find the point at which the line f ( x) = 2
− x −1 intersects the line g( x) = − x
46. Find the point at which the line f ( x) = 2 x + 5 intersects the line g( x) = 3
− x − 5
Section 2.2 Graphs of Linear Functions 125
47. Use algebra to find the point at which the line f ( x)
4
274
=
− x +
intersects the line
5
25
h( x) 9
73
= x +
4
10
48. Use algebra to find the point at which the line f ( x) 7
457
= x +
intersects the line
4
60
g ( x) 4
31
= x +
3
5
49. A car rental company offers two plans for renting a car.
Plan A: 30 dollars per day and 18 cents per mile
Plan B: 50 dollars per day with free unlimited mileage
How many miles would you need to drive for plan B to save you money?
50. A cell phone company offers two data options for its prepaid phones
Pay per use: $0.002 per Kilobyte (KB) used
Data Package: $5 for 5 Megabytes (5120 Kilobytes) + $0.002 per addition KB
Assuming you will use less than 5 Megabytes, under what circumstances will the data
package save you money?
51. Sketch an accurate picture of the line having equation f ( x)
1
= 2 − x . Let c be an
2
unknown constant. [UW]
a. Find the point of intersection between the line you have graphed and the
line g ( x) =1+ cx ; your answer will be a point in the xy plane whose
coordinates involve the unknown c.
b. Find c so that the intersection point in (a) has x-coordinate 10.
c. Find c so that the intersection point in (a) lies on the x-axis.
126 Chapter 2
Section 2.3 Modeling with Linear Functions
When modeling scenarios with a linear function and solving problems involving
quantities changing linearly, we typically follow the same problem solving strategies that
we would use for any type of function:
Problem solving strategy
1) Identify changing quantities, and then carefully and clearly define descriptive
variables to represent those quantities. When appropriate, sketch a picture or define
a coordinate system.
2) Carefully read the problem to identify important information. Look for information
giving values for the variables, or values for parts of the functional model, like slope
and initial value.
3) Carefully read the problem to identify what we are trying to find, identify, solve, or
interpret.
4) Identify a solution pathway from the provided information to what we are trying to
find. Often this will involve checking and tracking units, building a table or even
finding a formula for the function being used to model the problem.
5) When needed, find a formula for the function.
6) Solve or evaluate using the formula you found for the desired quantities.
7) Reflect on whether your answer is reasonable for the given situation and whether it
makes sense mathematically.
8) Clearly convey your result using appropriate units, and answer in full sentences
when appropriate.
Example 1
Emily saved up $3500 for her summer visit to Seattle. She anticipates spending $400
each week on rent, food, and fun. Find and interpret the horizontal intercept and
determine a reasonable domain and range for this function.
In the problem, there are two changing quantities: time and money. The amount of
money she has remaining while on vacation depends on how long she stays. We can
define our variables, including units.
Output: M, money remaining, in dollars
Input: t, time, in weeks
Reading the problem, we identify two important values. The first, $3500, is the initial
value for M. The other value appears to be a rate of change – the units of dollars per
week match the units of our output variable divided by our input variable. She is
spending money each week, so you should recognize that the amount of money
remaining is decreasing each week and the slope is negative.
Section 2.3 Modeling with Linear Functions 127
To answer the first question, looking for the horizontal intercept, it would be helpful to
have an equation modeling this scenario. Using the intercept and slope provided in the
problem, we can write the equation: M t() = 3500 −
t
400 .
To find the horizontal intercept, we set the output to zero, and solve for the input:
0 = 3500 − 400 t
3500
t =
= 75
.
8
400
The horizontal intercept is 8.75 weeks. Since this represents the input value where the
output will be zero, interpreting this, we could say: Emily will have no money left after
8.75 weeks.
When modeling any real life scenario with functions, there is typically a limited domain
over which that model will be valid – almost no trend continues indefinitely. In this
case, it certainly doesn’t make sense to talk about input values less than zero. It is also
likely that this model is not valid after the horizontal intercept (unless Emily’s going to
start using a credit card and go into debt).
The domain represents the set of input values and so the reasonable domain for this
function is 0 ≤ t ≤ 75
.
8
.
However, in a real world scenario, the rental might be weekly or nightly. She may not
be able to stay a partial week and so all options should be considered. Emily could stay
in Seattle for 0 to 8 full weeks (and a couple of days), but would have to go into debt to
stay 9 full weeks, so restricted to whole weeks, a reasonable domain without going in to
debt would be 0 ≤ t ≤ 8 , or 0 ≤ t ≤ 9 if she went into debt to finish out the last week.
The range represents the set of output values and she starts with $3500 and ends with $0
after 8.75 weeks so the corresponding range is 0 ≤ M ( t) ≤ 3500 .
If we limit the rental to whole weeks however, if she left after 8 weeks because she
didn’t have enough to stay for a full 9 weeks, she would have M(8) = 3500 -400(8) =
$300 dollars left after 8 weeks, giving a range of 300 ≤ M ( t) ≤ 3500. If she wanted to
stay the full 9 weeks she would be $100 in debt giving a range of −100 ≤ M ( t) ≤ 3500 .
Most importantly remember that domain and range are tied together, and what ever you
decide is most appropriate for the domain (the independent variable) will dictate the
requirements for the range (the dependent variable).

128 Chapter 2
Example 2
Jamal is choosing between two moving companies. The first, U-Haul, charges an up-
front fee of $20, then 59 cents a mile. The second, Budget, charges an up-front fee of
$16, then 63 cents a mile3. When will U-Haul be the better choice for Jamal?
The two important quantities in this problem are the cost, and the number of miles that
are driven. Since we have two companies to consider, we will define two functions:
Input: m, miles driven
Outputs:
Y( m): cost, in dollars, for renting from U-Haul
B(m): cost, in dollars, for renting from Budget
Reading the problem carefully, it appears that we were given an initial cost and a rate of
change for each company. Since our outputs are measured in dollars but the costs per
mile given in the problem are in cents, we will need to convert these quantities to match
our desired units: $0.59 a mile for U-Haul, and $0.63 a mile for Budget.
Looking to what we’re trying to find, we want to know when U-Haul will be the better
choice. Since all we have to make that decision from is the costs, we are looking for
when U-Haul will cost less, or when Y( m) < B( m) . The solution pathway will lead us to find the equations for the two functions, find the intersection, then look to see where
the Y(m) function is smaller. Using the rates of change and initial charges, we can write
the equations:
Y( m) = 20 + .
0 59 m
B( m) = 16 +
m
63
.
0
These graphs are sketched to the right, with Y(m)
drawn dashed.
To find the intersection, we set the equations
equal and solve:
Y(m) = B(m)
20 + 59
.
0 m = 16 + 63
.
0 m
4 = 0 04
. m
m = 100
This tells us that the cost from the two companies will be the same if 100 miles are
driven. Either by looking at the graph, or noting that Y(m) is growing at a slower rate,
we can conclude that U-Haul will be the cheaper price when more than 100 miles are
driven.
3 Rates retrieved Aug 2, 2010 from http://www.budgettruck.com and http://www.uhaul.com/
Section 2.3 Modeling with Linear Functions 129
Example 3
A town’s population has been growing linearly. In 2004 the population was 6,200. By
2009 the population had grown to 8,100. If this trend continues,
a. Predict the population in 2013
b. When will the population reach 15000?
The two changing quantities are the population and time. While we could use the actual
year value as the input quantity, doing so tends to lead to very ugly equations, since the
vertical intercept would correspond to the year 0, more than 2000 years ago!
To make things a little nicer, and to make our lives easier too, we will define our input
as years since 2004:
Input: t, years since 2004
Output: P(t), the town’s population
The problem gives us two input-output pairs. Converting them to match our defined
variables, the year 2004 would correspond to t = 0, giving the point (0, 6200). Notice
that through our clever choice of variable definition, we have “given” ourselves the
vertical intercept of the function. The year 2009 would correspond to t = 5, giving the
point (5, 8100).
To predict the population in 2013 ( t = 9), we would need an equation for the population.
Likewise, to find when the population would reach 15000, we would need to solve for
the input that would provide an output of 15000. Either way, we need an equation. To
find it, we start by calculating the rate of change:
8100 − 6200 1900
m =
=
= 380 people per year
5 − 0
5
Since we already know the vertical intercept of the line, we can immediately write the
equation:
P t() = 6200 +
t
380
To predict the population in 2013, we evaluate our function at t = 9
P )
9
( = 6200 +
)
9
(
380
= 9620
If the trend continues, our model predicts a population of 9,620 in 2013.
To find when the population will reach 15,000, we can set P(t) = 15000 and solve for t.
15000 = 6200 + 380 t
8800 = 380 t
t ≈
158
.
23
Our model predicts the population will reach 15,000 in a little more than 23 years after
2004, or somewhere around the year 2027.
130 Chapter 2
Example 4
Anna and Emanuel start at the same intersection. Anna walks east at 4 miles per hour
while Emanuel walks south at 3 miles per hour. They are communicating with a two-
way radio with a range of 2 miles. How long after they start walking will they fall out
of radio contact?
In essence, we can partially answer this question by saying they will fall out of radio
contact when they are 2 miles apart, which leads us to ask a new question: how long
will it take them to be 2 miles apart?
In this problem, our changing quantities are time and the two peoples’ positions, but
ultimately we need to know how long will it take for them to be 2 miles apart. We can
see that time will be our input variable, so we’ll define
Input: t, time in hours.
Since it is not obvious how to define our output variables, we’ll start by drawing a
picture.
Anna walking east, 4 miles/hour
Distance between them
Emanuel walking south, 3 miles/hour
Because of the complexity of this question, it may be helpful to introduce some
intermediary variables. These are quantities that we aren’t directly interested in, but
seem important to the problem. For this problem, Anna’s and Emanuel’s distances
from the starting point seem important. To notate these, we are going to define a
coordinate system, putting the “starting point” at the intersection where they both
started, then we’re going to introduce a variable, A, to represent Anna’s position, and
define it to be a measurement from the starting point, in the eastward direction.
Likewise, we’ll introduce a variable, E, to represent Emanuel’s position, measured from
the starting point in the southward direction. Note that in defining the coordinate
system we specified both the origin, or starting point, of the measurement, as well as the
direction of measure.
While we’re at it, we’ll define a third variable, D, to be the measurement of the distance
between Anna and Emanuel. Showing the variables on the picture is often helpful:
Looking at the variables on the picture, we remember we need to know how long it
takes for D, the distance between them, to equal 2 miles.
Section 2.3 Modeling with Linear Functions 131
A
E
D
a
c
Seeing this picture we remember that in order to find the distance
b
between the two, we can use the Pythagorean Theorem, a
2
2
2
a + b = c
property of right triangles.
From here, we can now look back at the problem for relevant information. Anna is
walking 4 miles per hour, and Emanuel is walking 3 miles per hour, which are rates of
change. Using those, we can write formulas for the distance each has walked.
They both start at the same intersection and so when t = 0, the distance travelled by each
person should also be 0, so given the rate for each, and the initial value for each, we get:
( At)=4 t
E( t) = 3 t
Using the Pythagorean theorem we get:
2
2
2
D( t) = (
A t) + E( t)
substitute in the function formulas
2
2
2
2
2
2
D( t) = (4 t) + (3 t) =16 t + 9 t = 25 t
solve for D(t) using the square root
2
D( t) = ± 25 t = ±5 t
Since in this scenario we are only considering positive values of t and our distance D(t)
will always be positive, we can simplify this answer to D( t) = 5 t
Interestingly, the distance between them is also a linear function. Using it, we can now
answer the question of when the distance between them will reach 2 miles:
D( t) = 2
5 t = 2
2
t = = 0.4
5
They will fall out of radio contact in 0.4 hours, or 24 minutes.
132 Chapter 2
Example 5
There is currently a straight road leading from the town of Westborough to a town 30
miles east and 10 miles north. Partway down this road, it junctions with a second road,
perpendicular to the first, leading to the town of Eastborough. If the town of
Eastborough is located 20 miles directly east of the town of Westborough, how far is the
Describe what you're looking for in as much detail as you'd like.
Our AI reads your request and finds the best matching books for you.
Popular searches:
Join 2.9 million readers and get unlimited free ebooks