
In this chapter you will learn how to work with algebraic expressions. You will recap some of the work on factorisation and multiplying out expressions that you learnt in earlier grades. This work will then be extended upon for Grade 10.
The following should be familiar. Examples are given as reminders.
Mathematical expressions are just like sentences and their parts have special names. You should be familiar with the following names used to describe the parts of a mathematical expression.

| Name | Examples (separated by commas) |
| term | a · x k , b · x , c m , d · y p , e · y , f |
| expression | a · x k + b · x + c m , d · y p + e · y + f |
| coefficient | a , b , d , e |
| exponent (or index) | k , p |
| base | x , y , c |
| constant | a , b , c , d , e , f |
| variable | x , y |
| equation | a · x k + b · x + c m = 0 |
| inequality | d · y p + e · y + f ≤ 0 |
| binomial | expression with two terms |
| trinomial | expression with three terms |
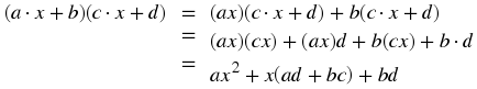
A binomial is a mathematical expression with two terms, e.g. (a x + b) and (c x + d). If these two binomials are multiplied, the following is the result:

The product of two identical binomials is known as the square of the binomial and is written as:
If the two terms are a x + b and a x – b then their product is:
This is known as the difference of two squares.
Factorisation is the opposite of expanding brackets. For example expanding brackets would require 2(x + 1) to be written as 2x + 2. Factorisation would be to start with 2x + 2 and to end up with 2(x + 1). In previous grades, you factorised based on common factors and on difference of squares.
Factorising based on common factors relies on there being common factors between your terms. For example, 2x – 6x 2can be factorised as follows:
Find the highest common factors of the following pairs of terms:
| (a) 6y;18x | (b) 12m n;8n | (c) 3s t;4s u | (d) 18k l;9k p | (e) a b c;a c |
| (f) 2x y;4x y z | (g) 3u v;6u | (h) 9x y;15x z | (i) 24x y z;16y z | (j) 3m;45n |
We have seen that:
Since Equation 3.6 is an equation, both sides are always equal. This means that an expression of the form:
can be factorised to
Therefore,
For example,
x
2 – 16 can be written as
which is a difference of two squares. Therefore, the factors of
x
2 – 16are (x – 4) and (x + 4).
Exercise 3.3. Factorising binomials with a common bracket (Go to Solution)
Factorise completely: 3a(a – 4) – 7(a – 4)
Exercise 3.4. Factorising using a switch around in brackets (Go to Solution)
Factorise 5(a – 2) – b(2 – a)
Find the products of:
| (a) 2y(y + 4) | (b) (y + 5)(y + 2) | (c) (y + 2)(2y + 1) |
| (d) (y + 8)(y + 4) | (e) (2y + 9)(3y + 1) | (f) (3y – 2)(y + 6) |
Factorise:
2l + 2w
12x + 32y
6x 2 + 2x + 10x 3
2x y 2 + x
Describe what you're looking for in as much detail as you'd like.
Our AI reads your request and finds the best matching books for you.
Popular searches:
Join 2.9 million readers and get unlimited free ebooks