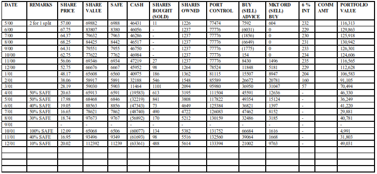
Cisco Systems from Model Portfolio
Describe what you're looking for in as much detail as you'd like. Our AI reads your request and finds the best matching books for you.
Popular searches:
Join 2.9 million readers and get unlimited free ebooks